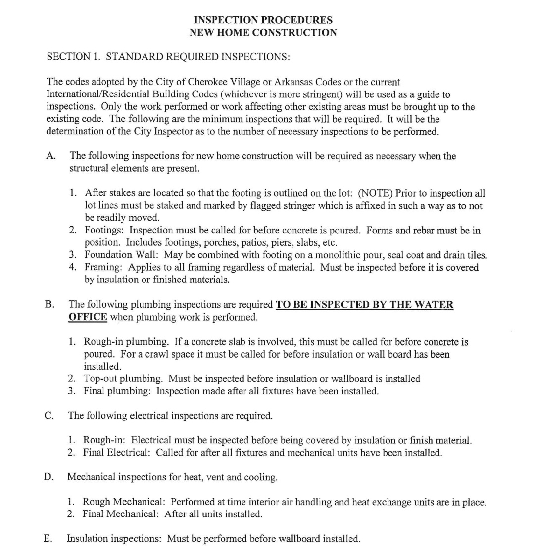
SAVE AND PRINT
ON YOUR COMPUTER
PLEASE
SAVE AND PRINT
ON YOUR COMPUTER
PLEASE
cvclerk@cherokeevillage.gov
cityhall@cherokeevillage.gov
Mailing Address:
PO Box 129 | Cherokee Village, AR 72525
Cherokee Village, Arkansas | North Central Arkansas | The Ozarks
© 2025 Cherokee Village, Arkansas (870)257-5522
Web Design by ARP (815)685-3469 | aradiop@gmail.com
Cherokee City Hall
2 Santee Dr.
Cherokee Village, AR 72529
Cherokee Village
Utility
Phone Numbers
1) Cherokee Village Police
Department Non Emergency #
(870)257-5225
Emergency # 911
2) Cherokee Village Fire Department Non Emergency #
(870)257-2304
Emergency # 911
3) Cherokee Village Waterworks
(870)257-3508
Check back for
our exclusive
interview with
Phillip Sweet
where he talks of
his time in
Cherokee
Village,
Arkansas.
Phillip Sweet (of Little Big Town) was raised in Cherokee Village, Arkansas in the
Ozarks. He grew up in a musical family. His mother had a weekend country variety
show and all of his brothers and sisters were involved in music in some way.
Phillip learned to play guitar and keyboards and wrote his first song when he was
nine years old. When he was ten, he became a featured soloist in his church's touring
musical group.